首页
找靠谱产品
找解决方案
找靠谱公司
找案例
找对的人
专家智库
悬赏任务
SAAS
ToB门户
了解全球最新的ToB事件
论坛
潜水/灌水快乐,沉淀知识,认识更多同行。
ToB圈子
加入IT圈,遇到更多同好之人。
微博
Follow
记录
Doing
博客
Blog
文库
业界最专业的IT文库,上传资料也可以赚钱
下载
分享
Share
排行榜
Ranklist
相册
Album
应用中心
qidao123.com技术社区-IT企服评测·应用市场
»
论坛
›
软件与程序人生
›
DevOps与敏捷开发
›
永磁同步电机无速率算法--改进滑模观测器SMO(界限层法 ...
返回列表
发新帖
永磁同步电机无速率算法--改进滑模观测器SMO(界限层法)
[复制链接]
发表于 2025-10-21 00:59:52
|
显示全部楼层
|
阅读模式
一、原理先容
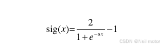
根据滑模观测器的界说,其切换函数是一个拥有高频切换特性的不一连项,为了进一步减小体系的抖振,将符号函数更换为Sigmoid函数,该函数为一种一连、光滑的切换函数,对抖振有精良的克制效果,其数学情势为:
此中a为Sigmoid曲线系数,其巨细决定了曲线的形态,对应关系如图3.5所示, Sigmoid函数聚集了饱和函数界限层切换的头脑和抱负滑动计划的理念,在界限层内接纳线性控制,界限层外接纳开关控制,同时在切换的时间引入补偿项使切换具有一连性, 较大的补偿项会镌汰震动,但是会使体系活动偏离滑模面,影响体系
性能
;而较大的补偿项会加强活动对滑模面的跟踪性,但对抖振的克制效果变差,在计划时可通过试凑法选取符合的a值举行计划。
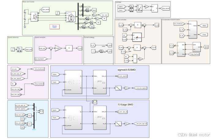
二、仿真模子
在MATLAB/simulink内里验证所提算法,搭建传统SMO和SIGMOD函数滑模仿真。接纳和实行中划一的控制周期1e-4,电机部分盘算周期为1e-6。仿真模子如下所示:
仿真工况:电机空载零速启动,0s阶跃给定转速1000rpm,0.5s施加额定
负载
将传统SMO和SIGMOD函数滑模举行对比验证,前一个为传统SMO,后一个为SIGMOD函数SMO。
2.1给定转速、实际转速和估计转速
2.2估计转速与实际转速毛病
2.3估计转角与实际转角
2.4估计转角与实际转角毛病
2.5 估计反电动势
可以看出接纳SIGMOD函数后,有效改善估计反电动势的抖振征象,进而优化估计的转速和转子位置的颠簸和毛病。
免责声明:如果侵犯了您的权益,请联系站长,我们会及时删除侵权内容,谢谢合作!更多信息从访问主页:qidao123.com:ToB企服之家,中国第一个企服评测及商务社交产业平台。
继续阅读请点击广告
本帖子中包含更多资源
您需要
登录
才可以下载或查看,没有账号?
立即注册
×
回复
使用道具
举报
返回列表
何小豆儿在此
+ 我要发帖
×
登录参与点评抽奖,加入IT实名职场社区
去登录
微信订阅号
微信服务号
微信客服(加群)
H5
小程序
快速回复
返回顶部
返回列表