原文链接:https://juejin.cn/post/7139572163371073543
项目准备
代码、手册
本文对应 2022 年的课程,Project 0 已经更新为实现字典树了。C++17 的开发环境建议直接下载 CLion,不建议自己瞎折腾。
测试
- $ mkdir build && cd build
- $ cmake -DCMAKE_BUILD_TYPE=DEBUG ..
- $ make starter_trie_test
- $ ./test/starter_trie_test
复制代码 运行上面的指令,你会得到如下输出,这不表示该项目的 5 个测试用例没过,而是没有执行。- [==========] Running 0 tests from 0 test suites.
- [==========] 0 tests from 0 test suites ran. (0 ms total)
- [ PASSED ] 0 tests.
- YOU HAVE 5 DISABLED TESTS
复制代码 需要修改 test/primer/starter_trie_test.cpp 文件,移除测试名 DISABLED_ 前缀。- // TEST(StarterTest, DISABLED_TrieNodeInsertTest)
- TEST(StarterTest, TrieNodeInsertTest)
复制代码 格式化
- $ make format
- $ make check-lint
- $ make check-clang-tidy-p0
复制代码 调试日志
- LOG_INFO("# Pages: %d", num_pages);
- LOG_DEBUG("Fetching page %d", page_id);
复制代码 项目介绍
使用支持并发的字典树实现一个键值存储,字典树是一种高效的排序树,用于检索指定键值。这里假设键都是非空的可变长度字符串,但事实上键可以是任意类型。

上图所示字典树中存储了:HAT、HAVE、HELLO 三个键。

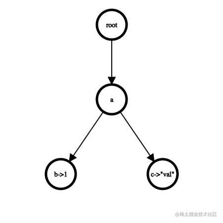
上图所示字典树存储了:ab=1、ac="val" 两组键值。
项目实现
只需要修改一个文件:src/include/primer/p0_trie.h
项目已经定义好了类和成员变量,以及需要实现的成员函数的签名,可以添加辅助变量或函数,但不能修改已有变量和函数签名。
任务一
文件中定义了 Trie、TrieNode、TrieNodeWithValue 三个类,建议先实现单线程版本,再改并发版本,类中的成员变量和成员函数都有注释。
任务二
实现并发安全的字典树,可以使用 BusTub 的 RwLatch 或 C++ 的 std::shared_mutex。
一些 C++ 的基操
一年多没写 C++ 了,用惯了 Go,突然用 C++ 写的脑壳疼,没用过 C++ 的小伙伴可能想编译通过都费劲,这里贴一下需要了解的 C++ 特性。
移动语义
std::unique_ptr 表示唯一的指向类型为 T 的对象的指针,因此需要使用移动语义 std::move,代码中 children_ 的类型嵌套了 std::unique_ptr,也需要使用移动语义。- TrieNode(TrieNode &&other_trie_node) noexcept {
- key_char_ = other_trie_node.key_char_;
- is_end_ = other_trie_node.is_end_;
- children_ = std::move(other_trie_node.children_);
- }
复制代码 构造父类
TrieNodeWithValue 是 TrieNode 的子类,构造子类时,如果没有手动在子类的构造函数中构造父类,就会调用父类的默认构造函数,而代码中父类是没有默认构造函数的,所以需要手动在子类中构造父类。
需要使用 std::forward 转发右值引用。- TrieNodeWithValue(TrieNode &&trieNode, T value) : TrieNode(std::forward<TrieNode>(trieNode)) {
- this->value_ = value;
- this->is_end_ = true;
- }
复制代码 父子指针转换
TrieNodeWithValue 是模板类,没法办使用多态,Trie::GetValue 需要将 unique_ptr 转换为 TrieNodeWithValue* 后调用 TrieNodeWithValue::GetValue。- std::unique_ptr<TrieNode> uptr = std::make_unique<TrieNodeWithValue<T>>('a', T());
- dynamic_cast<TrieNodeWithValue<T>*>(&(*uptr))->GetValue();
复制代码 可能有更优雅的办法,但我实在是想不出来了,C++ 可真难写啊。
所有权规避
std::unique_ptr 的传递一定是使用移动语义转移 T 对象地址的所有权,但也可以不获取所有权访问 T 对象的地址,代码里的注释也引导我们使用这种方式。- std::unique_ptr<int> uptr(new int(1));
- std::cout << *uptr << std::endl; // 1
- auto *p = &uptr;
- *(*p) = 2;
- std::cout << *uptr << std::endl; // 2
复制代码 remove_innner 的返回值表示传入节点是否可以删除,可以删除的条件是该节点无子节点且非尾节点。函数内判断当前节点的子节点是否可以删除,并返回当前节点是否可以删除。出口是递归到了传入 key 的尾节点,取消尾节点标记,并返回是否可以删除。该函数调用前还需要判断一下 key 是否存在。
空模板变量值
GetValue 的返回值是一个模板类型,错误的时候直接 return T(),正常情况下,需要转换 TrieNode 为 TrieNodeWithValue 中获取值,上文提过该父子类转换的办法。- auto curr = &root_;
- size_t i = 0;
- while (i + 1 < key.size()) {
- curr = (*curr)->GetChildNode(key[i]);
- i++;
- }
- // end_node
- curr = (*curr)->GetChildNode(key[i]);
复制代码 并发安全
这个其实很简单,前 4 个测试都通过了,Insert、Remove、GetValue 三个函数开始和结束位置加锁和解锁就可以了,需要注意的是这三个函数如果彼此调用会死锁,比如 Insert 里面调用 GetValue 判断 key 是否存在。
这里提供一个 Go 语言中 defer 解锁的简易实现,如果你不知道 defer 就在每个返回的地方都解锁就可以。- * When you reach the ending character of a key:
- * 2. If the terminal node is a TrieNode, then convert it into TrieNodeWithValue by
- * invoking the appropriate constructor.
复制代码 使用方式如下,以 Remove 为例。- (*curr) = std::make_unique<TrieNodeWithValue<T>>(std::move(*(*curr)), value);
复制代码 写在最后
动手开始项目前,可以先去 leetcode 过一遍 实现 Trie (前缀树),先能写出简单的字典树再动手。如果需要代码的话可以私信我。如果想做数据库的工作欢迎找我内推(恰点内推奖金)。

免责声明:如果侵犯了您的权益,请联系站长,我们会及时删除侵权内容,谢谢合作! |